武汉瑞阳化工有限公司

从事精细化学品研发及生产的科技型化工企业

电话咨询

150 9992 7557

联系我们
 联系方式
联系人:万经理
电话:150-9992-7557
邮箱1:alexwan20@163.com
邮箱2:ry@ry-chem.com
邮箱3:2533808875@qq.com
QQ:952200541
地址:湖北省黄冈市黄州区火车站经济开发区
产品详情
重氮盐FB硫酸氢盐
分享到:

重氮盐FB硫酸氢盐

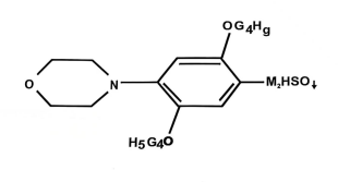
产品信息: 重氮盐FB硫酸氢盐 Diazo FBS  2,5二丁氧基4吗啉基重氮苯硫酸氢盐 2,5-Dibutoxy-4-morpholinobenzenediazonium sulphate
产品简介: 黄色粉末 含量≥82%
产品详情



产品结构式


扫一扫添加微信

45.png

   150-9992-7557

联系人:万经理

邮箱1:alexwan20@163.com

邮箱2:ry@ry-chem.com

邮箱3:2533808875@qq.com

QQ:952200541

地址:湖北省黄冈市黄州区火车站经济开发区